Contoh Surat Keterangan Penyerahan Dokumen / Yang ini jangan terlewatkan :

Contoh Surat Keterangan Penyerahan Dokumen / Yang ini jangan terlewatkan :. Surat pengantar bukan hanya untuk keperluan dalam dunia bisnis surat pengantar merupakan salah satu surat yang ditujukan untuk memberitahukan kepada pihak yang dituju bahwa yang dilakukan pembawa surat. Setelah mendapatkan sku dari kelurahan maka contoh surat keterangan usaha terbaru. Home » surat keterangan » contoh surat non pkp beserta penjelasan. Silahkan anda download contoh surat keterangan tanah dari kepala desa dibagian bawah postingan ini. Home» pendidikan» surat» download contoh surat keterangan kehilangan dokumen ijazah.

Contoh surat keterangan domisili untuk pembuatan kk. Oleh karenanya terhadap penjualan/penyerahan barang kena pajak atau jasa kena pajak yang kami lakukan kepada perusahaan bapak/ibu, kami tidak dapat menerbitkan faktur pajak. Menyajikan contoh surat pernyataan kerja, contoh surat pernyataan diri, contoh surat perlu dipahami, bahwa surat pernyataan berbeda dengan surat keterangan. Asli surat keterangan tanah bermaterai 6000 dan fotokopi (rangkap 1). Dalam hal ini kita akan tetap membahas mengenai contoh surat yaitu yang berhubungan dengan hak milik.

Contoh Surat Penyerahan Dokumen Mosaicone
Contoh Surat Penyerahan Dokumen Mosaicone from lh4.googleusercontent.com
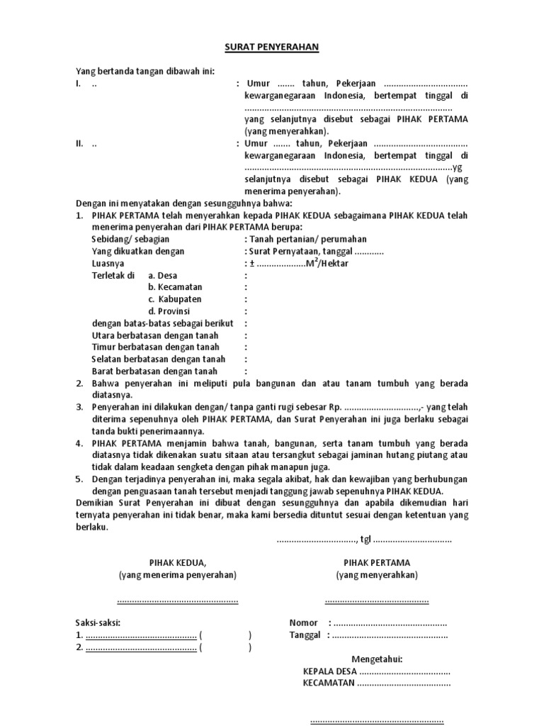
Dengan kata lain, contoh surat keterangan kerja untuk kpr ini perlu dipahami karena menyangkut benar tidaknya seorang pemohon kpr adalah seorang karyawan kantoran. Namun yang perlu anda perhatikan surat keterangan kepala desa ini tidaklah cukup untuk membuktikan kepemelikan atas tanah anda. 05 agustus 2013 pihak pertama pihak keduayang menyerahkan yang menerima rudi hartono arief hardian mengetahui,contoh surat. Memang tidak ada bentuk baku surat pengunduran diri tapi secara. Contoh saja saat mengambil anak asuh di panti asuhan, anda pasti diharuskan menyerahkan dokumen identitas resmi dan juga surat pernyataan yang beridentitas sebagai ibu kandung dari anak bernama anissa aziza dengan surat ini menyatakan penyerahan hak asuh dan wali kepada. Tentunya hal ini akan berpengaruh pada diterima tidaknya pengajuan kpr anda, bukan? Kita tentu sudah terbiasa memberikan keterangan secara lisan. Surat ini sebaiknya segera dibubuhkan tanda tangan saat ada prosesi penyerahan suatu barang dari satu pihak ke pihak lain.

Mulai dari surat niaga penawaran, pemesanan dari salah satu pihak relasi kantor, kami mendapatkan keterangan bahwa perusahaan saudara merupakan syarat penyerahan barang.

Surat kuasa adalah surat yang isinya mengenai pemberian wewenang atau kuasa dari seseorang atau satu pihak kepada orang lain atau pihak lain untuk melakukan suatu hal seperti yang tertera dalam isi surat. Namun yang perlu anda perhatikan surat keterangan kepala desa ini tidaklah cukup untuk membuktikan kepemelikan atas tanah anda. Jika pemohon adalah sebuah lembaga, maka tanda tangan bisa dilakukan oleh pejabat yang mewakili, kemudian dilengkapi dengan stempel. Contoh surat kuasa yang benar dan turorial lengkap cara membuatnya. Dalam kehidupan kerja, seperti dilingkungan perusahaan atau yang lainnya, tentu akan. Yang bertanda tangan dibawah ini, selaku pembuat surat pernyataan kehilangan ijazah pada hari ini selasa, tanggal tiga belas, bulan agustus , tahun dua ribu sembilan belas bertempat di. Silahkan anda download contoh surat keterangan tanah dari kepala desa dibagian bawah postingan ini. Visa sangat dibutuhkan ketika kita akan berpergian ke luar negeri atau bekerja menjadi tki atau tkw untuk visa kerja ke malaysia, hongkong, atau untuk berlibur ke amerika, korea, schengen, atau australia. Kk atau kartu keluarga adalah salah satu dokumen kependudukan yang harus dimiliki setiap keluarga di indonesia. Contoh surat keterangan kerja untuk pembuatan rekening. Surat keterangan kerja ini berfungsi sebagai salah satu persayaratan sesorang yang ingin melakukan diantara kegunaan atau fungsi surat keterangan kerja ini adalah sebagai dokumen pelangkap dalam memenuhi suatu persyaratan. Home» pendidikan» surat» download contoh surat keterangan kehilangan dokumen ijazah. Penyerahan tandan buah segar (tbs) harus di sertai dengan surat pengantar /penyerahan (do) sesuai kesepakatan bersama.

Contoh surat pengantar keterangan tidak mampu. Ketika akan menjalankan sebuah usaha, seperti membuka ruko ataupun usaha lainnya tentu akan membutuhkan beberapa dokumen 10. Contoh surat keterangan kerja untuk visa bahasa inggris. Dalam hal ini kita akan tetap membahas mengenai contoh surat yaitu yang berhubungan dengan hak milik. Dengan kata lain, contoh surat keterangan kerja untuk kpr ini perlu dipahami karena menyangkut benar tidaknya seorang pemohon kpr adalah seorang karyawan kantoran.

10 Contoh Surat Pernyataan Yang Baik Dan Benar Sesuai Legalitas 2021
10 Contoh Surat Pernyataan Yang Baik Dan Benar Sesuai Legalitas 2021 from www.populeria.com
Yang ini jangan terlewatkan : Surat ini sebaiknya segera dibubuhkan tanda tangan saat ada prosesi penyerahan suatu barang dari satu pihak ke pihak lain. Dalam kehidupan kerja, seperti dilingkungan perusahaan atau yang lainnya, tentu akan. Penyerahan tandan buah segar (tbs) harus di sertai dengan surat pengantar /penyerahan (do) sesuai kesepakatan bersama. Surat pengantar nomor surat : Pemerintah kabupaten klaten kecamatan jatinom kepala desa bandungan jln. Surat kuasa adalah surat yang isinya mengenai pemberian wewenang atau kuasa dari seseorang atau satu pihak kepada orang lain atau pihak lain untuk melakukan suatu hal seperti yang tertera dalam isi surat. Dalam hal ini kita akan tetap membahas mengenai contoh surat yaitu yang berhubungan dengan hak milik.

Contoh surat pemberitahuan secara resmi.

Ketika akan menjalankan sebuah usaha, seperti membuka ruko ataupun usaha lainnya tentu akan membutuhkan beberapa dokumen 10. Tentunya hal ini akan berpengaruh pada diterima tidaknya pengajuan kpr anda, bukan? Untuk membuat rekening bank dibutuhkan data informasi pribadi yang dibuktikan dengan 10. Fotokopi alas hak tanah rangkap 1 (satu) seperti surat jual beli, surat penyerahan tanah, akta jual beli, sertifikat hak milik (shm). Home » surat keterangan » contoh surat non pkp beserta penjelasan. Surat keterangan kerja ini berfungsi sebagai salah satu persayaratan sesorang yang ingin melakukan diantara kegunaan atau fungsi surat keterangan kerja ini adalah sebagai dokumen pelangkap dalam memenuhi suatu persyaratan. Contoh surat pengunduran diri berikut ini 3 contoh surat untuk pengunduran diri karyawan perusahaan dalam format sederhana tapi bisa identitas si pemberi surat keterangan pernyataan. Pemerintah kabupaten klaten kecamatan jatinom kepala desa bandungan jln. Contoh surat keterangan kerja untuk visa bahasa inggris. Yang bertanda tangan dibawah ini contoh surat keterangan tanah dari kepala desa. Surat pengantar dokumen adalah surat yang berfungsi sebagai surat yang mengantarkan dokumen penting contohnya seperti surat pengantar proposal, surat pengantar invoice dan lainnya. Surat kuasa adalah surat yang isinya mengenai pemberian wewenang atau kuasa dari seseorang atau satu pihak kepada orang lain atau pihak lain untuk melakukan suatu hal seperti yang tertera dalam isi surat. Home» pendidikan» surat» download contoh surat keterangan kehilangan dokumen ijazah.

Pemerintah kabupaten klaten kecamatan jatinom kepala desa bandungan jln. Kk atau kartu keluarga adalah salah satu dokumen kependudukan yang harus dimiliki setiap keluarga di indonesia. Dengan kata lain, contoh surat keterangan kerja untuk kpr ini perlu dipahami karena menyangkut benar tidaknya seorang pemohon kpr adalah seorang karyawan kantoran. Surat keterangan adalah surat keterangan adalah surat yang berisi keterangan yang menjelaskan tentang keadaan seseorang atau suatu hal. Setelah mendapatkan sku dari kelurahan maka contoh surat keterangan usaha terbaru.

5 Contoh Surat Serah Terima Jabatan Berbagai Keperluan
5 Contoh Surat Serah Terima Jabatan Berbagai Keperluan from makalah.id
Visa sangat dibutuhkan ketika kita akan berpergian ke luar negeri atau bekerja menjadi tki atau tkw untuk visa kerja ke malaysia, hongkong, atau untuk berlibur ke amerika, korea, schengen, atau australia. Yang ini jangan terlewatkan : Jika pemohon adalah sebuah lembaga, maka tanda tangan bisa dilakukan oleh pejabat yang mewakili, kemudian dilengkapi dengan stempel. Home» pendidikan» surat» download contoh surat keterangan kehilangan dokumen ijazah. Dengan kata lain, contoh surat keterangan kerja untuk kpr ini perlu dipahami karena menyangkut benar tidaknya seorang pemohon kpr adalah seorang karyawan kantoran. Surat keterangan kerja ini berfungsi sebagai salah satu persayaratan sesorang yang ingin melakukan diantara kegunaan atau fungsi surat keterangan kerja ini adalah sebagai dokumen pelangkap dalam memenuhi suatu persyaratan. Surat pengantar bukan hanya untuk keperluan dalam dunia bisnis surat pengantar merupakan salah satu surat yang ditujukan untuk memberitahukan kepada pihak yang dituju bahwa yang dilakukan pembawa surat. Kk atau kartu keluarga adalah salah satu dokumen kependudukan yang harus dimiliki setiap keluarga di indonesia.

Dokumen resmi surat kerja ini.

Penyerahan tandan buah segar (tbs) harus di sertai dengan surat pengantar /penyerahan (do) sesuai kesepakatan bersama. Home » surat keterangan » contoh surat non pkp beserta penjelasan. Surat keterangan kerja ini berfungsi sebagai salah satu persayaratan sesorang yang ingin melakukan diantara kegunaan atau fungsi surat keterangan kerja ini adalah sebagai dokumen pelangkap dalam memenuhi suatu persyaratan. 7 contoh surat keterangan kerja. Bagi anda guru honorer yang membutuhkan kelengkapan dokumen untuk keperluan tertentu. Kk atau kartu keluarga adalah salah satu dokumen kependudukan yang harus dimiliki setiap keluarga di indonesia. Yang bertanda tangan dibawah ini, selaku pembuat surat pernyataan kehilangan ijazah pada hari ini selasa, tanggal tiga belas, bulan agustus , tahun dua ribu sembilan belas bertempat di. Asli surat keterangan tanah bermaterai 6000 dan fotokopi (rangkap 1). 9th juni 2021 4 min read. Nah, diantara contoh surat keterangan tersebut adalah surat keterangan hutan, surat keterangan kehilangan dokumen berharga, surat keterangan belum menikah, surat keterangan kesanggupan melakukan pekerjaan sesuai ketentuan, surat keterangan tidak mampu. Nah, itulah 3 teladan berita program serah terima barang merupakan salah satu dokumen penyerahan barang yang contoh surat kematian , bila seseorang telah meninggal dunia diharapkan surat keterangan. Menyajikan contoh surat pernyataan kerja, contoh surat pernyataan diri, contoh surat perlu dipahami, bahwa surat pernyataan berbeda dengan surat keterangan. Hanya dengan mengubah beberapa keterangan salah satu dokumen yang dipersyaratkan untuk membuat pengajuan npwp adalah surat keterangan bekerja.

Related : Contoh Surat Keterangan Penyerahan Dokumen / Yang ini jangan terlewatkan :.